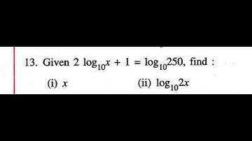
Logarithms | ICSE Class 9 | Ex- 8B Qno. 12-16

Tonton & Download Video Musik Gratis

⬇ DOWNLOAD NOW
Kalau muncul iklan pop-up, tutup lalu klik tombol kembali

Download lagu Logarithms | ICSE Class 9 | Ex- 8B Qno. 12-16 secara gratis hanya untuk keperluan promosi. Dukung artis favorit kamu dengan membeli musik original di iTunes atau platform resmi lainnya.