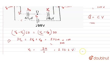
Take the potential of the point B in figure to be zero . (a) Find the potentials at the points C

Tonton & Download Video Musik Gratis

⬇ DOWNLOAD NOW
Kalau muncul iklan pop-up, tutup lalu klik tombol kembali

Download lagu Take the potential of the point B in figure to be zero . (a) Find the potentials at the points C secara gratis hanya untuk keperluan promosi. Dukung artis favorit kamu dengan membeli musik original di iTunes atau platform resmi lainnya.