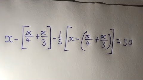
#Mathematics tricks #friction solve method #tricks @MathematicsAnalysis @omatheusgui @tricks

Tonton & Download Video Musik Gratis

⬇ DOWNLOAD NOW
Kalau muncul iklan pop-up, tutup lalu klik tombol kembali

Download lagu #Mathematics tricks #friction solve method #tricks @MathematicsAnalysis @omatheusgui @tricks secara gratis hanya untuk keperluan promosi. Dukung artis favorit kamu dengan membeli musik original di iTunes atau platform resmi lainnya.