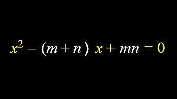
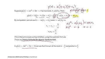
CMI Entrance Problem 2020 | Transformation of Polynomials | Vieta' s Formula | By Sampad Kumar Kar

Tonton & Download Video Musik Gratis

⬇ DOWNLOAD NOW
Kalau muncul iklan pop-up, tutup lalu klik tombol kembali

Download lagu CMI Entrance Problem 2020 | Transformation of Polynomials | Vieta' s Formula | By Sampad Kumar Kar secara gratis hanya untuk keperluan promosi. Dukung artis favorit kamu dengan membeli musik original di iTunes atau platform resmi lainnya.