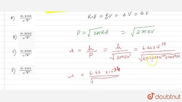
एक इलेक्ट्रॉन V विभवान्तर के अंतर्गत त्वरित किया गया है। इसकी डी-ब्रॉग्ली तरंगदैर्ध्य lambda है ...

Tonton & Download Video Musik Gratis

⬇ DOWNLOAD NOW
Kalau muncul iklan pop-up, tutup lalu klik tombol kembali

Download lagu एक इलेक्ट्रॉन V विभवान्तर के अंतर्गत त्वरित किया गया है। इसकी डी-ब्रॉग्ली तरंगदैर्ध्य lambda है ... secara gratis hanya untuk keperluan promosi. Dukung artis favorit kamu dengan membeli musik original di iTunes atau platform resmi lainnya.