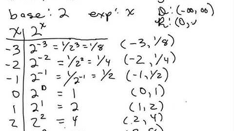
Graphing Exponential Functions with an Asymptote (2) [Silent Solution]

Tonton & Download Video Musik Gratis

⬇ DOWNLOAD NOW
Kalau muncul iklan pop-up, tutup lalu klik tombol kembali

Download lagu Graphing Exponential Functions with an Asymptote (2) [Silent Solution] secara gratis hanya untuk keperluan promosi. Dukung artis favorit kamu dengan membeli musik original di iTunes atau platform resmi lainnya.