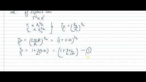
A satellite is launched into a circular orbit of radius 'R' around the earth. A second satellite is

Tonton & Download Video Musik Gratis

⬇ DOWNLOAD NOW
Kalau muncul iklan pop-up, tutup lalu klik tombol kembali

Download lagu A satellite is launched into a circular orbit of radius 'R' around the earth. A second satellite is secara gratis hanya untuk keperluan promosi. Dukung artis favorit kamu dengan membeli musik original di iTunes atau platform resmi lainnya.