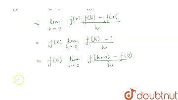
Let `f: r in R` be a contunuous function given be `f(x+y)=f(x)+f(y)"for all " x,b y in R`. If `in

Tonton & Download Video Musik Gratis

⬇ DOWNLOAD NOW
Kalau muncul iklan pop-up, tutup lalu klik tombol kembali

Download lagu Let `f: r in R` be a contunuous function given be `f(x+y)=f(x)+f(y)"for all " x,b y in R`. If `in secara gratis hanya untuk keperluan promosi. Dukung artis favorit kamu dengan membeli musik original di iTunes atau platform resmi lainnya.