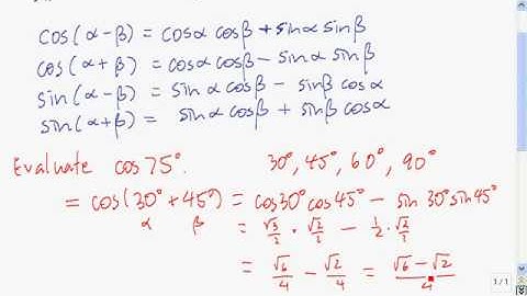
PC12 - 6.2a (pt2) Sum & Difference Identities for Sine & Cosine

Tonton & Download Video Musik Gratis

⬇ DOWNLOAD NOW
Kalau muncul iklan pop-up, tutup lalu klik tombol kembali

Download lagu PC12 - 6.2a (pt2) Sum & Difference Identities for Sine & Cosine secara gratis hanya untuk keperluan promosi. Dukung artis favorit kamu dengan membeli musik original di iTunes atau platform resmi lainnya.