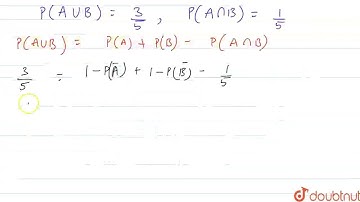
The probability that at least one of the events A and B occurs is `(3)/(5)`. If A and B occur

Tonton & Download Video Musik Gratis

⬇ DOWNLOAD NOW
Kalau muncul iklan pop-up, tutup lalu klik tombol kembali

Download lagu The probability that at least one of the events A and B occurs is `(3)/(5)`. If A and B occur secara gratis hanya untuk keperluan promosi. Dukung artis favorit kamu dengan membeli musik original di iTunes atau platform resmi lainnya.