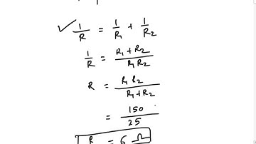
Two resistance are given as R1=(10±0.5)Ω R2=(15±0.5)Ω. The percentage error in the measurement of...

Tonton & Download Video Musik Gratis

⬇ DOWNLOAD NOW
Kalau muncul iklan pop-up, tutup lalu klik tombol kembali

Download lagu Two resistance are given as R1=(10±0.5)Ω R2=(15±0.5)Ω. The percentage error in the measurement of... secara gratis hanya untuk keperluan promosi. Dukung artis favorit kamu dengan membeli musik original di iTunes atau platform resmi lainnya.