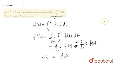
Let f : R to R be a continuous function satisfying f(x)+underset(0)overset(x)(f)tf(t)dt+x^(2)=0 ...

Tonton & Download Video Musik Gratis

⬇ DOWNLOAD NOW
Kalau muncul iklan pop-up, tutup lalu klik tombol kembali

Download lagu Let f : R to R be a continuous function satisfying f(x)+underset(0)overset(x)(f)tf(t)dt+x^(2)=0 ... secara gratis hanya untuk keperluan promosi. Dukung artis favorit kamu dengan membeli musik original di iTunes atau platform resmi lainnya.