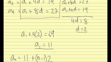
Advanced Pre Calc 2014 8.2 Arithmetic Sequences and Series

Tonton & Download Video Musik Gratis

⬇ DOWNLOAD NOW
Kalau muncul iklan pop-up, tutup lalu klik tombol kembali

Download lagu Advanced Pre Calc 2014 8.2 Arithmetic Sequences and Series secara gratis hanya untuk keperluan promosi. Dukung artis favorit kamu dengan membeli musik original di iTunes atau platform resmi lainnya.