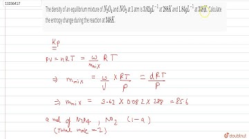
The density of an equilibrium mixture of `N_(2)O_(4)` and `NO_(2)` at 1 atm and 373.5K is

Tonton & Download Video Musik Gratis

⬇ DOWNLOAD NOW
Kalau muncul iklan pop-up, tutup lalu klik tombol kembali

Download lagu The density of an equilibrium mixture of `N_(2)O_(4)` and `NO_(2)` at 1 atm and 373.5K is secara gratis hanya untuk keperluan promosi. Dukung artis favorit kamu dengan membeli musik original di iTunes atau platform resmi lainnya.