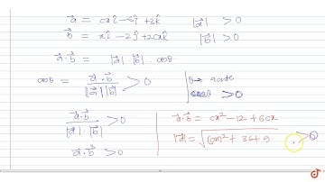
Determine the value of c to that for all real x, the vectors cxhat(i)-6hat(j)+3hat(k) and xhat(i...

Tonton & Download Video Musik Gratis

⬇ DOWNLOAD NOW
Kalau muncul iklan pop-up, tutup lalu klik tombol kembali

Download lagu Determine the value of c to that for all real x, the vectors cxhat(i)-6hat(j)+3hat(k) and xhat(i... secara gratis hanya untuk keperluan promosi. Dukung artis favorit kamu dengan membeli musik original di iTunes atau platform resmi lainnya.