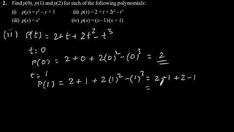
Find p(0) p1) and p2) for each of following Polynomial p(t)=2+t+2t2-t3

Tonton & Download Video Musik Gratis

⬇ DOWNLOAD NOW
Kalau muncul iklan pop-up, tutup lalu klik tombol kembali

Download lagu Find p(0) p1) and p2) for each of following Polynomial p(t)=2+t+2t2-t3 secara gratis hanya untuk keperluan promosi. Dukung artis favorit kamu dengan membeli musik original di iTunes atau platform resmi lainnya.