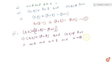
Let A,B,C be any three sets, then prove that A x (B∩C) = (A x B) ∩ (A x C)

Tonton & Download Video Musik Gratis

⬇ DOWNLOAD NOW
Kalau muncul iklan pop-up, tutup lalu klik tombol kembali

Download lagu Let A,B,C be any three sets, then prove that A x (B∩C) = (A x B) ∩ (A x C) secara gratis hanya untuk keperluan promosi. Dukung artis favorit kamu dengan membeli musik original di iTunes atau platform resmi lainnya.