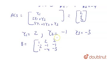
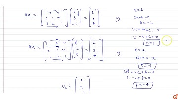
If A=([ 1 0 0; 2 1 0; 3 2 1 ]), U_1, U_2 and U_3 are column matrices satisfying A U_1=([ 1; 0; 0 ...

Tonton & Download Video Musik Gratis

⬇ DOWNLOAD NOW
Kalau muncul iklan pop-up, tutup lalu klik tombol kembali

Download lagu If A=([ 1 0 0; 2 1 0; 3 2 1 ]), U_1, U_2 and U_3 are column matrices satisfying A U_1=([ 1; 0; 0 ... secara gratis hanya untuk keperluan promosi. Dukung artis favorit kamu dengan membeli musik original di iTunes atau platform resmi lainnya.