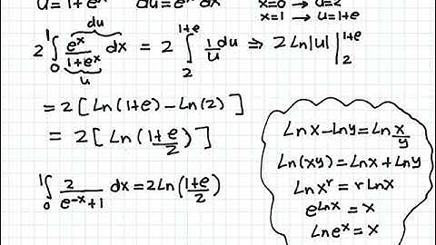
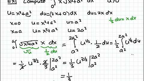
UToronto MAT 136H1 tutor U-Substitution Method 8 Video tutorial 40

Tonton & Download Video Musik Gratis

⬇ DOWNLOAD NOW
Kalau muncul iklan pop-up, tutup lalu klik tombol kembali

Download lagu UToronto MAT 136H1 tutor U-Substitution Method 8 Video tutorial 40 secara gratis hanya untuk keperluan promosi. Dukung artis favorit kamu dengan membeli musik original di iTunes atau platform resmi lainnya.