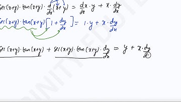
Q#8 - Ex 5.3 - Short Answer Type - NCERT EXEMPLAR Class XII Maths - Continuity & Differentiability

Tonton & Download Video Musik Gratis

⬇ DOWNLOAD NOW
Kalau muncul iklan pop-up, tutup lalu klik tombol kembali

Download lagu Q#8 - Ex 5.3 - Short Answer Type - NCERT EXEMPLAR Class XII Maths - Continuity & Differentiability secara gratis hanya untuk keperluan promosi. Dukung artis favorit kamu dengan membeli musik original di iTunes atau platform resmi lainnya.