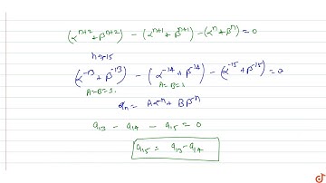
Let p,q be integer and alpha,beta be roots of the equation,x^2-x-1=0.For n=0,1,2,3..let an=p@^n+qb^n

Tonton & Download Video Musik Gratis

⬇ DOWNLOAD NOW
Kalau muncul iklan pop-up, tutup lalu klik tombol kembali

Download lagu Let p,q be integer and alpha,beta be roots of the equation,x^2-x-1=0.For n=0,1,2,3..let an=p@^n+qb^n secara gratis hanya untuk keperluan promosi. Dukung artis favorit kamu dengan membeli musik original di iTunes atau platform resmi lainnya.