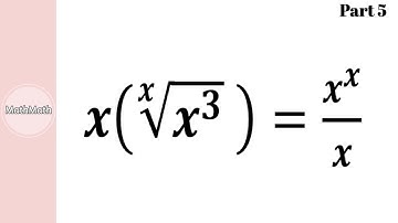
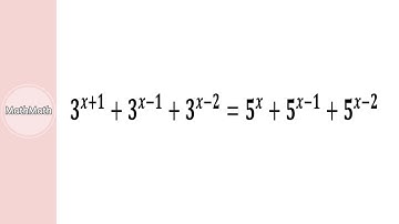
E&L - HOW TO: Logarithmic & Exponential Equations (Part 4)

Tonton & Download Video Musik Gratis

⬇ DOWNLOAD NOW
Kalau muncul iklan pop-up, tutup lalu klik tombol kembali

Download lagu E&L - HOW TO: Logarithmic & Exponential Equations (Part 4) secara gratis hanya untuk keperluan promosi. Dukung artis favorit kamu dengan membeli musik original di iTunes atau platform resmi lainnya.