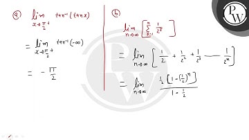
If `[.]` denotes the greatest integer function , then `lim_(xrarr pi//2)[(x-(pi)/(2))/(cos x)

Tonton & Download Video Musik Gratis

⬇ DOWNLOAD NOW
Kalau muncul iklan pop-up, tutup lalu klik tombol kembali

Download lagu If `[.]` denotes the greatest integer function , then `lim_(xrarr pi//2)[(x-(pi)/(2))/(cos x) secara gratis hanya untuk keperluan promosi. Dukung artis favorit kamu dengan membeli musik original di iTunes atau platform resmi lainnya.