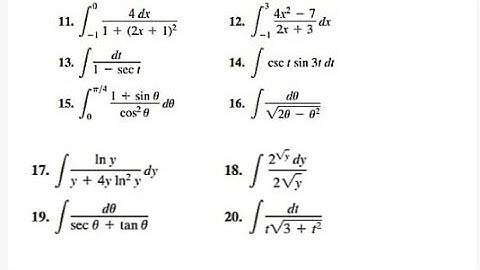
Thomas Calculus 13 Edition Chapter#8 Exercise#8.1(Q#11-15).#integration #calculus

Tonton & Download Video Musik Gratis

⬇ DOWNLOAD NOW
Kalau muncul iklan pop-up, tutup lalu klik tombol kembali

Download lagu Thomas Calculus 13 Edition Chapter#8 Exercise#8.1(Q#11-15).#integration #calculus secara gratis hanya untuk keperluan promosi. Dukung artis favorit kamu dengan membeli musik original di iTunes atau platform resmi lainnya.