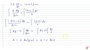
If the solution curve, of the differential equation dy/dx=(x+y-2)/(x-y) passing through the point

Tonton & Download Video Musik Gratis

⬇ DOWNLOAD NOW
Kalau muncul iklan pop-up, tutup lalu klik tombol kembali

Download lagu If the solution curve, of the differential equation dy/dx=(x+y-2)/(x-y) passing through the point secara gratis hanya untuk keperluan promosi. Dukung artis favorit kamu dengan membeli musik original di iTunes atau platform resmi lainnya.