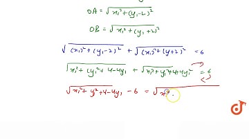
II.5.find the equation of locus of a point,the sum of whose distances from (0,2)and (0,-2) is 6.

Tonton & Download Video Musik Gratis

⬇ DOWNLOAD NOW
Kalau muncul iklan pop-up, tutup lalu klik tombol kembali

Download lagu II.5.find the equation of locus of a point,the sum of whose distances from (0,2)and (0,-2) is 6. secara gratis hanya untuk keperluan promosi. Dukung artis favorit kamu dengan membeli musik original di iTunes atau platform resmi lainnya.