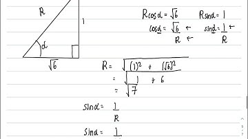
A-Level Pure Mathematics 2019 OCT/NOV Paper 3 Variant 3 Question 4

Tonton & Download Video Musik Gratis

⬇ DOWNLOAD NOW
Kalau muncul iklan pop-up, tutup lalu klik tombol kembali

Download lagu A-Level Pure Mathematics 2019 OCT/NOV Paper 3 Variant 3 Question 4 secara gratis hanya untuk keperluan promosi. Dukung artis favorit kamu dengan membeli musik original di iTunes atau platform resmi lainnya.