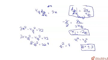
Velocity -time graph of a particle executing `SHM` is as shown in fig. Select the ocrrect

Tonton & Download Video Musik Gratis

⬇ DOWNLOAD NOW
Kalau muncul iklan pop-up, tutup lalu klik tombol kembali

Download lagu Velocity -time graph of a particle executing `SHM` is as shown in fig. Select the ocrrect secara gratis hanya untuk keperluan promosi. Dukung artis favorit kamu dengan membeli musik original di iTunes atau platform resmi lainnya.