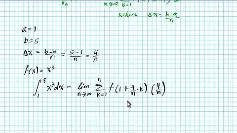
How to Rewrite Riemann sums definite integral mathgotserved AP Calculus AB Review of Timed AP Exam P

Tonton & Download Video Musik Gratis

⬇ DOWNLOAD NOW
Kalau muncul iklan pop-up, tutup lalu klik tombol kembali

Download lagu How to Rewrite Riemann sums definite integral mathgotserved AP Calculus AB Review of Timed AP Exam P secara gratis hanya untuk keperluan promosi. Dukung artis favorit kamu dengan membeli musik original di iTunes atau platform resmi lainnya.