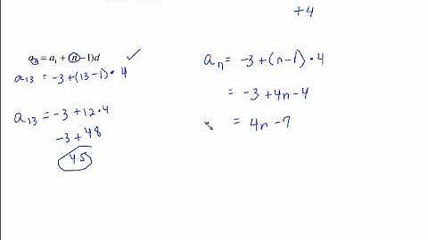
MTH151-Sec. 12.2 Arithmetic Sequences (Part 3)

Tonton & Download Video Musik Gratis

⬇ DOWNLOAD NOW
Kalau muncul iklan pop-up, tutup lalu klik tombol kembali

Download lagu MTH151-Sec. 12.2 Arithmetic Sequences (Part 3) secara gratis hanya untuk keperluan promosi. Dukung artis favorit kamu dengan membeli musik original di iTunes atau platform resmi lainnya.