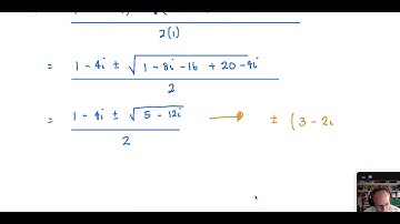
Finding the Square Root of a Complex Number to Solve a Quadratic Equation with Complex Coefficients

Tonton & Download Video Musik Gratis

⬇ DOWNLOAD NOW
Kalau muncul iklan pop-up, tutup lalu klik tombol kembali

Download lagu Finding the Square Root of a Complex Number to Solve a Quadratic Equation with Complex Coefficients secara gratis hanya untuk keperluan promosi. Dukung artis favorit kamu dengan membeli musik original di iTunes atau platform resmi lainnya.