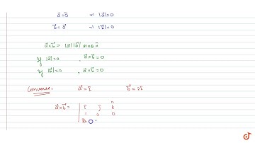
If either vec a= vec0\\ or\\vec b= vec0\\ t h e n\\vec adot vec b= vec0\nbut, the converse need...

Tonton & Download Video Musik Gratis

⬇ DOWNLOAD NOW
Kalau muncul iklan pop-up, tutup lalu klik tombol kembali

Download lagu If either vec a= vec0\\ or\\vec b= vec0\\ t h e n\\vec adot vec b= vec0\nbut, the converse need... secara gratis hanya untuk keperluan promosi. Dukung artis favorit kamu dengan membeli musik original di iTunes atau platform resmi lainnya.