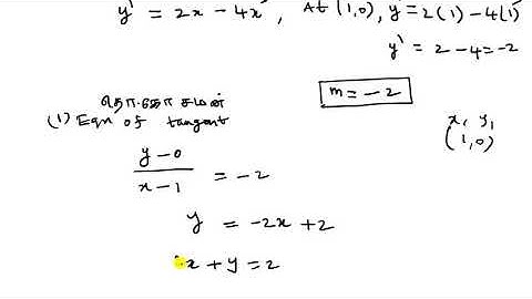
Class 12|EX-7.2|5(iii)|Find the equations of tangent and normal to the curve y=xsinx at (π/2,π/2)

Tonton & Download Video Musik Gratis

⬇ DOWNLOAD NOW
Kalau muncul iklan pop-up, tutup lalu klik tombol kembali

Download lagu Class 12|EX-7.2|5(iii)|Find the equations of tangent and normal to the curve y=xsinx at (π/2,π/2) secara gratis hanya untuk keperluan promosi. Dukung artis favorit kamu dengan membeli musik original di iTunes atau platform resmi lainnya.