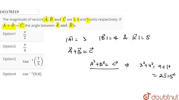
11 | The magnitude of vectors A, B and C are 3,4, and 5 units respectively. if A + B = C, the angle

Tonton & Download Video Musik Gratis

⬇ DOWNLOAD NOW
Kalau muncul iklan pop-up, tutup lalu klik tombol kembali

Download lagu 11 | The magnitude of vectors A, B and C are 3,4, and 5 units respectively. if A + B = C, the angle secara gratis hanya untuk keperluan promosi. Dukung artis favorit kamu dengan membeli musik original di iTunes atau platform resmi lainnya.