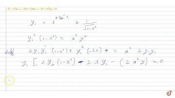
If y= e^asin^-1x , prove that (1-x²)yn+2-(2n+1)xyn+1-(n²+a²)yn= 0. Hence find yn at x= 0

Tonton & Download Video Musik Gratis

⬇ DOWNLOAD NOW
Kalau muncul iklan pop-up, tutup lalu klik tombol kembali

Download lagu If y= e^asin^-1x , prove that (1-x²)yn+2-(2n+1)xyn+1-(n²+a²)yn= 0. Hence find yn at x= 0 secara gratis hanya untuk keperluan promosi. Dukung artis favorit kamu dengan membeli musik original di iTunes atau platform resmi lainnya.