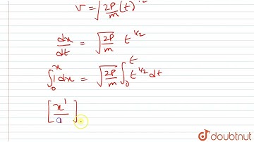
An automobile of mass m accelerates from rest. If the engine supplies a constant power P, the v...

Tonton & Download Video Musik Gratis

⬇ DOWNLOAD NOW
Kalau muncul iklan pop-up, tutup lalu klik tombol kembali

Download lagu An automobile of mass m accelerates from rest. If the engine supplies a constant power P, the v... secara gratis hanya untuk keperluan promosi. Dukung artis favorit kamu dengan membeli musik original di iTunes atau platform resmi lainnya.