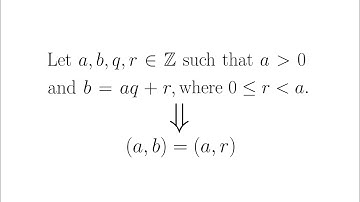
27.Theorem 28: If a=bq+r then show that (a,b)=(b,r) in Number theory proof in Hindi or Urdu

Tonton & Download Video Musik Gratis

⬇ DOWNLOAD NOW
Kalau muncul iklan pop-up, tutup lalu klik tombol kembali

Download lagu 27.Theorem 28: If a=bq+r then show that (a,b)=(b,r) in Number theory proof in Hindi or Urdu secara gratis hanya untuk keperluan promosi. Dukung artis favorit kamu dengan membeli musik original di iTunes atau platform resmi lainnya.