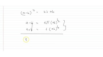
The sum of two no. is 6 times their GM, show that no. are in the ratio (3+2√2):(3-2√2).

Tonton & Download Video Musik Gratis

⬇ DOWNLOAD NOW
Kalau muncul iklan pop-up, tutup lalu klik tombol kembali

Download lagu The sum of two no. is 6 times their GM, show that no. are in the ratio (3+2√2):(3-2√2). secara gratis hanya untuk keperluan promosi. Dukung artis favorit kamu dengan membeli musik original di iTunes atau platform resmi lainnya.