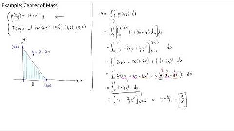
Find the center of mass of a triangular lamina vertices (0, 0), (1, 0), (0, 2) if the density 1+3x+y

Tonton & Download Video Musik Gratis

⬇ DOWNLOAD NOW
Kalau muncul iklan pop-up, tutup lalu klik tombol kembali

Download lagu Find the center of mass of a triangular lamina vertices (0, 0), (1, 0), (0, 2) if the density 1+3x+y secara gratis hanya untuk keperluan promosi. Dukung artis favorit kamu dengan membeli musik original di iTunes atau platform resmi lainnya.