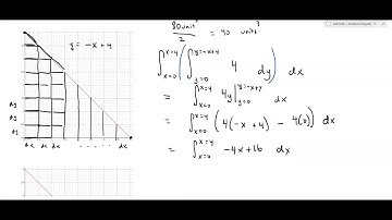
Iterated Integrals Lecture Part 4: Integration over Nonrectangular Regions

Tonton & Download Video Musik Gratis

⬇ DOWNLOAD NOW
Kalau muncul iklan pop-up, tutup lalu klik tombol kembali

Download lagu Iterated Integrals Lecture Part 4: Integration over Nonrectangular Regions secara gratis hanya untuk keperluan promosi. Dukung artis favorit kamu dengan membeli musik original di iTunes atau platform resmi lainnya.