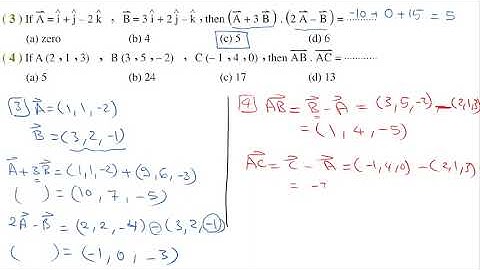
حل تمرين المعاصر 2023 - Scalar Product - Exercise 3- Sec 3 Solid Geometry Part 1 Q 7

Tonton & Download Video Musik Gratis

⬇ DOWNLOAD NOW
Kalau muncul iklan pop-up, tutup lalu klik tombol kembali

Download lagu حل تمرين المعاصر 2023 - Scalar Product - Exercise 3- Sec 3 Solid Geometry Part 1 Q 7 secara gratis hanya untuk keperluan promosi. Dukung artis favorit kamu dengan membeli musik original di iTunes atau platform resmi lainnya.