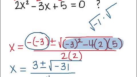
Solve Quadratic Equation Using Quadratic Formula Resulting in Two Complex Solutions

Tonton & Download Video Musik Gratis

⬇ DOWNLOAD NOW
Kalau muncul iklan pop-up, tutup lalu klik tombol kembali

Download lagu Solve Quadratic Equation Using Quadratic Formula Resulting in Two Complex Solutions secara gratis hanya untuk keperluan promosi. Dukung artis favorit kamu dengan membeli musik original di iTunes atau platform resmi lainnya.