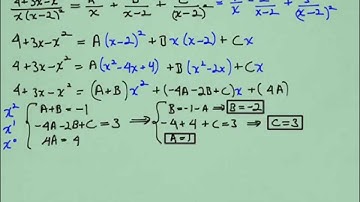
4. Partial Fractions - Example 2 (partial fractions with repeated linear factor)

Tonton & Download Video Musik Gratis

⬇ DOWNLOAD NOW
Kalau muncul iklan pop-up, tutup lalu klik tombol kembali

Download lagu 4. Partial Fractions - Example 2 (partial fractions with repeated linear factor) secara gratis hanya untuk keperluan promosi. Dukung artis favorit kamu dengan membeli musik original di iTunes atau platform resmi lainnya.