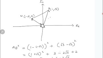
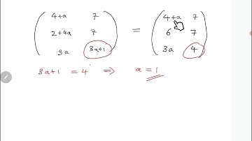
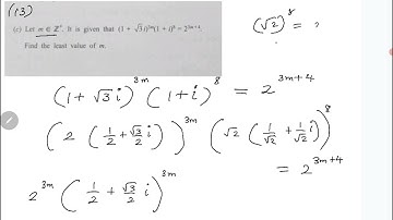
Combined Maths 2025 A/L Paper - Applied Question 13 ( SHM ) Solution

Tonton & Download Video Musik Gratis

⬇ DOWNLOAD NOW
Kalau muncul iklan pop-up, tutup lalu klik tombol kembali

Download lagu Combined Maths 2025 A/L Paper - Applied Question 13 ( SHM ) Solution secara gratis hanya untuk keperluan promosi. Dukung artis favorit kamu dengan membeli musik original di iTunes atau platform resmi lainnya.