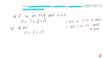
Find the vector equationof the line passing through (1, 2, 3) and parallel to the planes vecr c...

Tonton & Download Video Musik Gratis

⬇ DOWNLOAD NOW
Kalau muncul iklan pop-up, tutup lalu klik tombol kembali

Download lagu Find the vector equationof the line passing through (1, 2, 3) and parallel to the planes vecr c... secara gratis hanya untuk keperluan promosi. Dukung artis favorit kamu dengan membeli musik original di iTunes atau platform resmi lainnya.