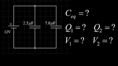
(II) Two capacitors connected in parallel produce an equivalent capacitance of 35.0 but when c…

Tonton & Download Video Musik Gratis

⬇ DOWNLOAD NOW
Kalau muncul iklan pop-up, tutup lalu klik tombol kembali

Download lagu (II) Two capacitors connected in parallel produce an equivalent capacitance of 35.0 but when c… secara gratis hanya untuk keperluan promosi. Dukung artis favorit kamu dengan membeli musik original di iTunes atau platform resmi lainnya.