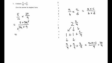
2014 SQA Nat 5 Mathematics Paper1: 1 Multiplication of mixed numbers.

Tonton & Download Video Musik Gratis

⬇ DOWNLOAD NOW
Kalau muncul iklan pop-up, tutup lalu klik tombol kembali

Download lagu 2014 SQA Nat 5 Mathematics Paper1: 1 Multiplication of mixed numbers. secara gratis hanya untuk keperluan promosi. Dukung artis favorit kamu dengan membeli musik original di iTunes atau platform resmi lainnya.