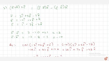
The scalar product of the vector `i+j+k` with a unit vector along the sum of vectors `2i + 4j-5...

Tonton & Download Video Musik Gratis

⬇ DOWNLOAD NOW
Kalau muncul iklan pop-up, tutup lalu klik tombol kembali

Download lagu The scalar product of the vector `i+j+k` with a unit vector along the sum of vectors `2i + 4j-5... secara gratis hanya untuk keperluan promosi. Dukung artis favorit kamu dengan membeli musik original di iTunes atau platform resmi lainnya.