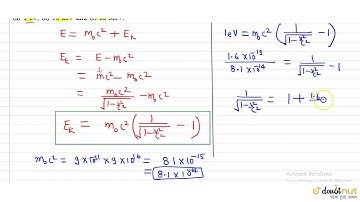
An electron has a speed of 0.750c. (a) Find the speed of a proton that has the same kinetic energy

Tonton & Download Video Musik Gratis

⬇ DOWNLOAD NOW
Kalau muncul iklan pop-up, tutup lalu klik tombol kembali

Download lagu An electron has a speed of 0.750c. (a) Find the speed of a proton that has the same kinetic energy secara gratis hanya untuk keperluan promosi. Dukung artis favorit kamu dengan membeli musik original di iTunes atau platform resmi lainnya.