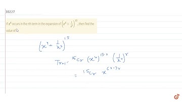
If \( x^{4} \) occurs in the \( r \) th term in the expansion of \( \left(x^{4}+\frac{1}{x^{3}}\...

Tonton & Download Video Musik Gratis

⬇ DOWNLOAD NOW
Kalau muncul iklan pop-up, tutup lalu klik tombol kembali

Download lagu If \( x^{4} \) occurs in the \( r \) th term in the expansion of \( \left(x^{4}+\frac{1}{x^{3}}\... secara gratis hanya untuk keperluan promosi. Dukung artis favorit kamu dengan membeli musik original di iTunes atau platform resmi lainnya.